Skip to main content
Topics
Higgs boson
Neutrinos
Dark matter
Dark energy
New physics
Applications
Full archive
Follow
Search
A joint Fermilab/SLAC publication
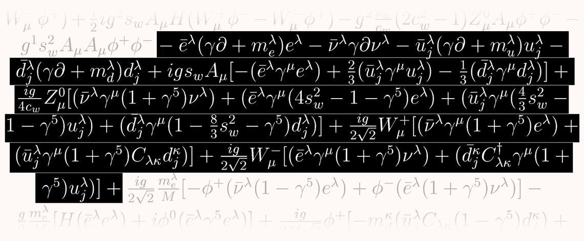
Image: Lagrangian standard model: three
07/27/16